Criza pandemică ne-a lăsat 100 000 de șomeri în plus

eurostat
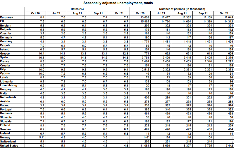
Rata şomajului în luna octombrie 2021 a înregistrat aceeași valoare ca și în luna precedentă
(5,3%). Numărul şomerilor (în vârstă de 15-74 ani) estimat pentru luna octombrie a anului 2021 a fost de 438 mii persoane, în creștere față de luna precedentă (436 mii persoane), cu 100 000 de persoane mai mult decât înainte de declanșarea pandemiei.



Citește și:
- 15:12 - PSD, vot în unanimitate pentru retragerea miniștrilor din Guvern. Ilie Bolojan are termen de 72 de ore pentru a demisiona
- 13:47 - Daniel Udrescu: Patologia procesuală în materia evaziunii fiscale. Absorbția penalului de către administrativ și limitele admisibile ale dualității procedurale
- 13:11 - Stabilitate pe piața monetară: ROBOR stagnează în ciuda tensiunilor politice
- 12:55 - Echipele ELCEN efectuează o analiză tehnică detaliată pentru identificarea cauzelor producerii incendiului de la CET Vest
Mai multe articole despre
Urmărește știrile Realitatea Financiara și pe Google News














